Vacuna contra la Covid-19. Imagen de archivo.

Vacuna contra la Covid-19. Imagen de archivo. iStock

Salud Covid-19

La tercera dosis de la vacuna reduce un 90% el riesgo de muerte por Covid

Entre los que recibieron la inyección, se constata que la mortalidad tras la tercera dosis era menor en mujeres (un 94%) que en hombres (88%).

Publicada

Noticias relacionadas

En España, hasta 87.413 personas mayores de 60 años se han salvado gracias a las dosis que recibieron a principios de año. Son datos que ofrecían la OMS y el Centro Europeo para la Prevención y el Control de Enfermedades (ECDC) para conocer hasta qué punto las vacunas contra la Covid-19 habían plantado cara a un virus que parecía imparable. Un nuevo estudio publicado en The New England Journal of Medicine añade un dato más: una tercera dosis reduce un 90% el riesgo de muerte por Covid.

Los mayores de 60 años y los colectivos más vulnerables ya están recibiendo el tercer pinchazo de la vacuna contra la Covid-19 en nuestro país. El objetivo es protegerse ante unas cifras de contagios que van en aumento y en una época marcada especialmente por el frío y las reuniones prenavideñas en interiores. Este estudio que publican científicos israelíes de Clalit Health Services en colaboración con la Universidad Ben-Gurion del Negev y el Sapir Academic College viene a demostrar la importancia de recibir una tercera dosis, sobre todo para los colectivos más sensibles al virus.

La investigación se llevó a cabo en Israel durante la ola de contagios que provocó la variante Delta en el país. Entre el 6 de agosto y el 29 de septiembre, seleccionaron a unos 843.208 pacientes de Clalit mayores de 50 años con la segunda dosis de la vacuna. De este modo, se comparó a los participantes que recibieron el refuerzo durante el período de estudio con los que no lo recibieron. 

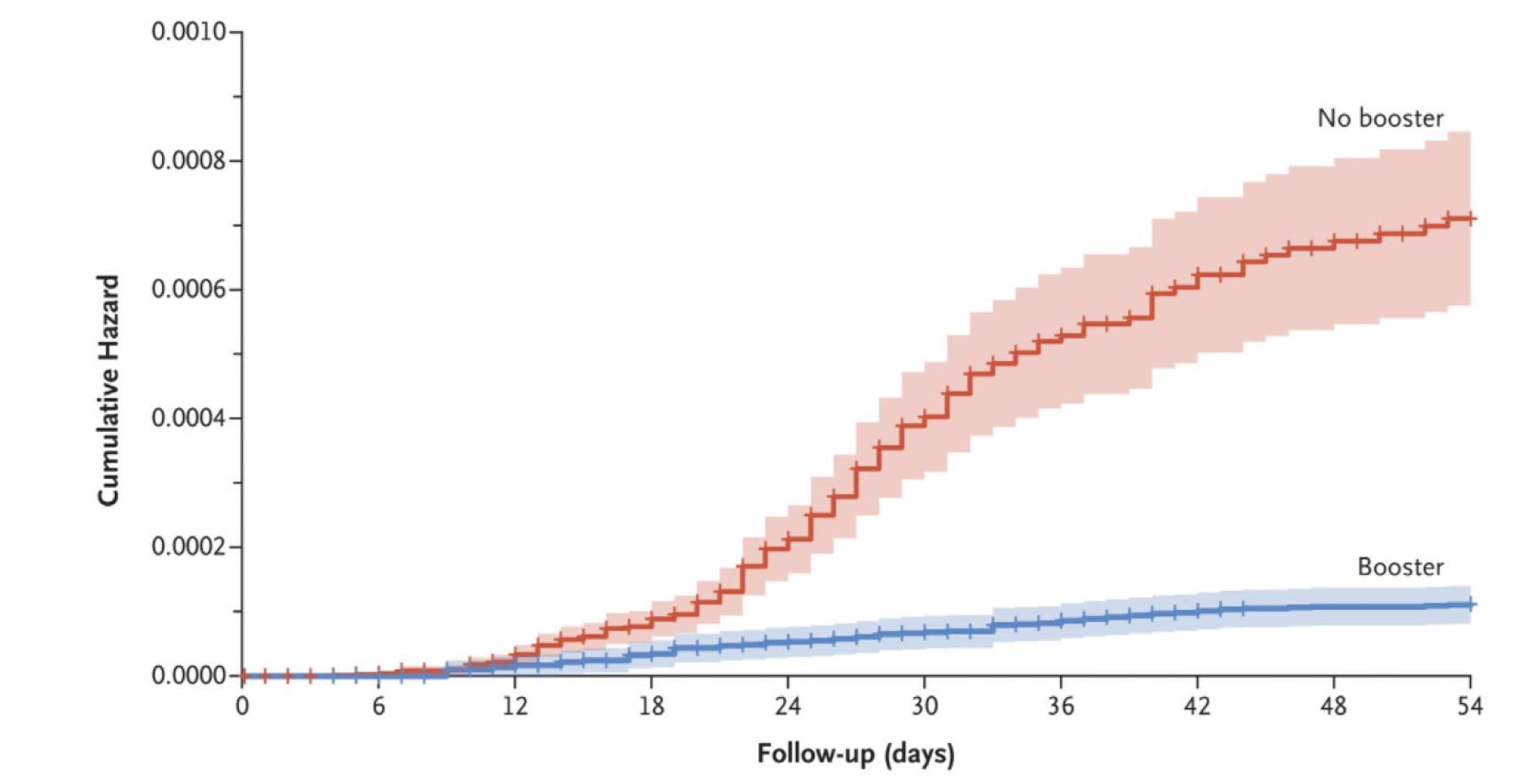
Al final del estudio, hasta un 90% de los participantes recibieron la tercera dosis de Pfizer en un período de 54 días. Los resultados arrojaron que un total de 202 personas fallecieron en el transcurso de la investigación. De ellos, 65 habían recibido la tercera inoculación de la vacuna y 137 disponían únicamente de dos dosis en el momento del deceso.

La conclusión que obtuvieron de estos datos los investigadores es que los participantes que recibieron un refuerzo al menos 5 meses después de una segunda dosis de Pfizer tuvieron un 90% menos de mortalidad debido a Covid-19 que los participantes que no recibieron un refuerzo. Pero, además, descubrieron otro dato interesante, y es que entre los que recibieron la inyección, se constató que la mortalidad tras la tercera dosis era menor en mujeres (un 94%) que en hombres (88%), así como en menores de 65 años que en personas de mayor edad.

En azul, las muertes por Covid-19 en personas con tres dosis. En rojo, las que no lo recibieron.

En azul, las muertes por Covid-19 en personas con tres dosis. En rojo, las que no lo recibieron. NEJM

El doctor Doron Netzer, autor principal del estudio, asegura que estos resultados "muestran inequívocamente que la vacuna de refuerzo está significativamente asociada con la reducción del riesgo de mortalidad por coronavirus, incluso de la variante Delta". Esto, de acuerdo a su experiencia profesional, es algo destacable, porque hay muy pocas intervenciones en el mundo médico que puedan atribuirse a una reducción de diez veces en el riesgo de mortalidad, como ocurre con la vacuna de refuerzo.

A lo largo del estudio, se observaron otras cuestiones como el tiempo de efectividad de la vacuna de refuerzo desde el momento de la inoculación. Como reflejan los datos obtenidos, al menos transcurrieron 7 días entre la administración del refuerzo y su efectividad.

Estos resultados, por tanto, pueden ayudar a encontrar una solución al debate que aún existe en algunos países sobre si vacunar o no a los menores de 65 años con una tercera dosis contra la Covid-19. Según los autores, "la evidencia generada en este estudio, que muestra un potencial significativo para salvar vidas al proporcionar el refuerzo, puede ayudar a resolver este problema".

¿Qué ocurre con la variante ómicron?

Los contagios en Europa crecen y también la preocupación y el debate sobre si las vacunas administradas a lo largo de este año son -de nuevo- efectivas frente a la última variante del coronavirus que se extiende por el continente: ómicron. Aunque de momento parece que no ha aumentado la mortalidad, las autoridades sanitarias sí que han alertado de su mayor capacidad de transmisión.

Aún es pronto para conocer datos sobre si vacunas como la de Pfizer reducen la mortalidad del covid provocado por variantes como ómicron. No obstante, ya hay estudios iniciales de laboratorio que muestran que los anticuerpos inducidos por la dosis de refuerzo de Pfizer y BioNTech son eficaces para neutralizar esta nueva forma del virus. Es decir, tres dosis de la vacuna protegerían frente a ómicron lo mismo que las dos inoculaciones para las anteriores variantes.

Albert Bourla, presidente y director general de Pfizer, cuenta a su vez que la dosis de refuerzo añade más protección a la que ya ofrecen las anteriores dosis. Además, sus resultados muestran cómo no solo existe una protección ante el contagio, sino que reduce la gravedad de la enfermedad si se contrae la Covid-19. Mientras tanto, las farmacéuticas trabajan en una adaptación de la vacuna para aumentar el nivel y la duración de protección frente a ómicron. 

Hasta el momento, hay al menos 13 casos de la variante ómicron en nuestro país. Aunque lo más preocupante es quizás el nivel de riesgo que vuelve a alcanzar la Incidencia Acumulada (IA) en nuestro país, que ahora mismo se sitúa en 245 a 14 días. La protección que ofrecen las dos dosis de la vacuna al 79,3% de la población española con la pauta completa está frenando -de momento- la gravedad de los contagios y, en consecuencia, la presión asistencial. Pero la idea de administrar una tercera dosis de refuerzo cobra fuerza ante la ola de contagios que parece volver a inundar de casos de coronavirus a países como España.